聚图网

视觉艺术探索平台

首页 最新 热门 排行

分类浏览

自然风光 动漫卡通 美食摄影 科技数码 人物写真 创意设计 壁纸背景 游戏原画

© 2026 聚图网

探索无限视觉可能

  1. 首页
  2. 泰克迅猛龙 风神
  3. 图片详情
加载中...
泰克迅猛龙

泰克迅猛龙

图片尺寸 800x599
上传时间 2026-03-28 21:20:40
关键词 泰克迅猛龙 风神
查看原图 下载图片

图片链接

原图
外链

相关图片

方舟恐龙专栏萌新杀手迅猛龙

方舟恐龙专栏萌新杀手迅猛龙

5,432 250
【方舟宝可梦】p2:泰克迅猛龙与无齿翼龙_单机游戏热门视频

【方舟宝可梦】p2:泰克迅猛龙与无齿翼龙_单机游戏热门视频

1,540 209
休闲残酷风神精英迅猛龙各一只泰克步

休闲残酷风神精英迅猛龙各一只泰克步

1,726 658
魔兽世界80级新出迅猛龙宝宝,8种_阿李蜗蜗-站酷zcool

魔兽世界80级新出迅猛龙宝宝,8种_阿李蜗蜗-站酷zcool

5,666 836
【老树】方舟生存进化超极品的泰克迅猛龙!16_哔哩哔哩_bilibili

【老树】方舟生存进化超极品的泰克迅猛龙!16_哔哩哔哩_bilibili

7,875 383
方舟生存进化驯龙历险记泰克迅猛龙入队焦土第2期

方舟生存进化驯龙历险记泰克迅猛龙入队焦土第2期

7,444 901
方舟 生存进化丨99 泰克迅猛龙 这猩红的配色.

方舟 生存进化丨99 泰克迅猛龙 这猩红的配色.

2,552 983
ark 方舟:生存进化 白送的迅猛龙皮肤_哔哩哔哩_bilibili

ark 方舟:生存进化 白送的迅猛龙皮肤_哔哩哔哩_bilibili

1,206 877

随机推荐

废柴狐阿桔松鼠头像

废柴狐阿桔松鼠头像

5,428 695
金色弥勒佛高清壁纸

金色弥勒佛高清壁纸

4,192 714
无大餐不旅行—看看法国那些精致的美食

无大餐不旅行—看看法国那些精致的美食

1,668 824
为何中国海军这些年新军舰"下饺子"?中船重工重磅揭开其中原因|航母|

为何中国海军这些年新军舰"下饺子"?中船重工重磅揭开其中原因|航母|

1,062 583
沙漠中的小绿洲的卡通插图

沙漠中的小绿洲的卡通插图

3,525 553
简笔画丨作业本上画小人老师评语表情包与学生互动

简笔画丨作业本上画小人老师评语表情包与学生互动

8,874 468
解剖脊髓的外形局部解剖脊神经脊髓的被膜

解剖脊髓的外形局部解剖脊神经脊髓的被膜

7,945 762
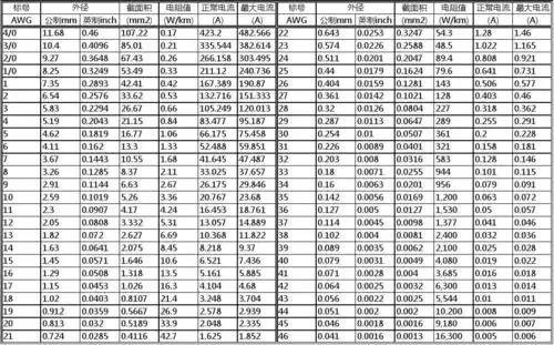
awg线径电流对照表

awg线径电流对照表

1,734 990

聚图网

视觉艺术探索平台

探索无限创意,发现精彩世界。我们致力于为您提供最优质的图片资源和视觉体验,激发您的创意灵感。

快速导航

  • 首页
  • 最新图片
  • 热门图片
  • 排行榜
  • 全部分类

关于我们

  • 平台简介
  • 联系我们
  • 隐私政策
  • 使用条款
  • 版权声明

订阅更新

订阅我们的新闻通讯,获取最新图片推荐和创意灵感

我们尊重您的隐私,不会向第三方分享您的信息

© 2026 聚图网. 保留所有权利。

隐私政策 使用条款 联系我们